本文由第三方AI基于17173文章http://mir.17173.com/content/2025-02-06/20250206173634758.shtml提炼总结而成,可能与原文真实意图存在偏差。不代表网站观点和立场。推荐点击链接阅读原文细致比对和校验。
“龙帝归来”装备位淬炼,心法老区属性一览!
2025-02-06 17:36:35
神评论
“龙帝归来”携“装备位淬炼”玩法横空出世,这是一次对装备属性升级玩法的颠覆性重塑,为追求极致战力的勇士们开辟了新的天地!
在“装备位淬炼”玩法中,不再仅仅是装备本身的档位决定装备实力上限,只要对“装备位”进行精心淬炼,随着淬炼等级的不断提升,装备位本身将被赋予神奇的力量。来一起看看五大等级的属性详情吧!区服:1-175区(除167、168)(一)武器类点击查看大图<<<淬炼所需材料:
(二)衣服类
点击查看大图<<<淬炼所需材料:
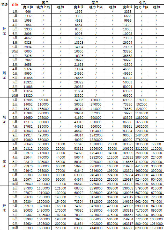
(三)首饰类
点击查看大图<<<淬炼所需材料:
友情提示:以上数据请以游戏内实际更新为准。
点击查询“龙帝归来”专题<<<
【来源:】
关于的新闻
- (2025-09-30) 热血传奇 这么多高攻战戒都多加了1点道术
- (2025-09-30) 热血传奇 特殊手镯中存在感极低的存在
- (2025-09-29) 热血传奇 它在同类首饰中最难获得 实用性高
- (2025-09-29) 热血传奇 新百区又一属性炸裂装备不显示来源
- (2025-09-29) 热血传奇 新百区全属性幸运链10套
今日头条
17173发号
精华推荐
日期
游戏
状态
下载
礼包
-
10-06金池百转
-
10-04第一赛季
-
10-03太平无象
-
10-03公开测试
-
10-02公开测试
-
09-30凌云之志
-
09-30歧路双轨
-
09-30逆水寒X斩神联动
-
09-29逐光测试
-
09-29丰收季
-
09-26S0.5元素觉醒
-
09-26限量测试
-
09-26我行山川异
-
09-25旷世逸才
-
09-25公开测试
-
09-25砺刃
-
09-25斗转隐曙光
-
09-25血战版第二纪元
-
09-25公开测试
-
09-25夺金盛宴
-
09-25灿海假日
-
09-25月之狂欢
-
09-25公开测试
-
09-25天启降临
-
09-24公开测试
-
09-24炼狱混沌
日期
游戏
状态
评分
礼包
-
08-31和鸣资料片5
-
08-15星恒资料片5
-
08-01蝉鸣资料片5.1
-
07-31玉长鸣资料片5.1
-
07-15北冥资料片5
-
07-01笑东风资料片5
-
06-30盛世资料片5.6
-
06-15嶙峋资料片5.6
-
06-01福满天资料片5.2
-
05-31芳时歇资料片4.8
-
05-15南风暖资料片5.5
-
05-01欢乐聚资料片5.7
-
04-30清溪资料片5
-
04-15鸿鹄资料片5
-
04-01纷飞资料片5.1
-
03-31九间资料片5.1
-
03-15剑影资料片5
-
03-01沧海吟资料片5
-
02-28护苍生资料片5.6
-
02-15从龙功资料片5.6
-
02-01长生殿资料片5.2
-
01-31金蛇舞资料片4.8
-
01-15如破竹资料片5.5
-
01-01贺新年资料片5.7
-
12-31雪人季资料片5
-
12-15闯三国资料片5